Δ = b 2 4ac Δ = 1 2 4·1(4) Δ = 17 El valor delta es mayor que cero, por lo que la ecuación tiene dos soluciones Usamos las siguientes fórmulas para calcular nuestras soluciones El resultado de la ecuación F (x)=x24 para usar en su tarea domésticaEs creciente en (0, 2) (2, )Free functions calculator explore function domain, range, intercepts, extreme points and asymptotes stepbystep
Mathscene Functions 1 Lesson 3
F(x)=x^2-4 solucion
F(x)=x^2-4 solucion-MÉTODOS NUMÉRICOS > 2 RAICES DE ECUACIONES INTRODUCCIÓN Uno de los problemas que se presenta con frecuencia en ingenieria es encontrar las raíces de ecuaciones de la forma f (x) = 0, donde f (x) es una función real de una variable x, como un polinomio en x como f (x) = 4x^5x^38x2, ó una función trascendente f (x) = e^xEncuentre el valor de la función f(x) = 2x2 – 4x 1, cuando x = 1, x = 0, y, x = 2 Solución Cuando x = 1, el valor de f está dado por f(1) = 2(1)2 – 4(1) 1 = 2 4 1 = 7 Cuando x = 0, el valor de f está dado por f(0) = 2(0)2 – 4(0) 1 = 1 Cuando x = 2, el valor de f está dado por f(2) = 2(2)2 – 4(2) 1= 8 8 1 = 1



Ejercicios De Aplicaciones De La Derivada Iv Superprof
If x is "close to" 2Resolver f(x)=x4 , f(x)=3x, Sustituya por Mover todos los términos que contengan al lado izquierdo de la ecuación Toca para ver más pasos Restar a ambos lados de la ecuación Reste de Dividir cada término por y simplificar Toca para ver más pasos Dividir cada término de porResolvemos problemas de matemáticas respondiendo a preguntas sobre tus deberes de álgebra, geometría, trigonometría, cálculo diferencial y estadísticas con explicaciones paso a paso, como un tutor de matemáticas
Graficar f(x) = −2x 2 3x – 3 a = −2, por lo que la gráfica abrirá hacia abajo y será más delgada que f(x) = x 2 c = −3, por lo que se moverá a intersectar el eje y en (0, −3) Antes de hacer la tabla de valores, observa los valores de a y c para tener una idea general de cómo debe quedar la gráficaCalculadoras gratuitas paso por paso para álgebra, Trigonometría y cálculoEn este vídeo aprenderemos a gratificar una función algebraica
F^2F4=0 a = 1;9 Gráfica Ejercicio nº 6 Estudia y representa la función Solución Dominio= R { 2, 2} Simetrías Asíntotas verticales Asíntota horizontal Si x y si x , f (x) < 1 la curva está por debajo de la asíntota Puntos singulares Crecimiento y decrecimiento ' Signo de f ' (x) f (x) es decreciente en ( , 2) ( 2, 0);Resolver para x x^24=0 x2 − 4 = 0 x 2 4 = 0 Sumar 4 4 a ambos lados de la ecuación x2 = 4 x 2 = 4 Tomar la raíz Cuadrado Cuadrado en ambos lados de la ecuación ecuación para eliminar el exponente en el lado izquierdo x = ±√4 x = ± 4 La solución completa es el resultado de las porciones positivas o negativas de la solución



Www3 Nd Edu Apilking Math Work Old exams Exam 3f12 Sols Pdf



Como Graficar Una Funcion De Segundo Grado Monografias Com
Soluciona tus problemas matemáticos con nuestro solucionador matemático gratuito, que incluye soluciones paso a paso Nuestro solucionador matemático admite matemáticas básicas, preálgebra, álgebra, trigonometría, cálculo y mucho másPartial fractions (x^24)/(x^4x) Natural Language;Matemáticas II Junio 16 PROBLEMA A3 Se da la función f definida por x 5x 6 1 f x 2 − Obtener razonadamente , escribiendo todos los pasos del razonamiento utilizado a) Dominio y asíntotas de la función f (2 puntos) b) Intervalos de crecimiento y decrecimiento de la función f (3 puntos)



Nivelacion Guia Exponenciacion Algebra Abstracta



Misc 2 Solve 6 3 2x 4 12 Chapter 6 Cbse Miscellaneous
Derivada de f (x)=34x^2, x=5 \square!(ii) g(x) = 2x2 1 y g(xh) = 2(xh)2 1 = 2x2 4xh2h2 1 entonces g(x h) g(x) h = (2x2 4xh 2h2 1) (2x2 1) h = 4xh 2h2 h = 4x h y de esta manera obtenemos g0(x) = l m h!0 g(x h) g(x) h = l m h!0 (4x 2h) = 4x 2 a)Hacer un dibujo de la gr a ca de la funci on f R !R dada por Los ceros de una función ocurren cuando la función es nula Entonces f (x) = 3x 2 Para determinar la raiz f (x) = 0 = 3x 2 3x = 2 x = 2/3 RESULTADO FINAL A mitgliedd1 y otros 95 usuarios les ha parecido útil esta respuesta heart outlined



1 Utilice La Funcion F X 3 4x X 4 2x 3 Xs 1 Chegg Com



Graphing Funciones Cuadraticas
F^2*F4FF*F16=0 Multiplicación de elementos1F^3F^24F16=0 No apoyamos la eFpresión F^3 El resultado de la ecuación F(x)=x216/x4 para usar en su tarea doméstica Siempre puedes compartir con tus amigos todas las soluciones de este sitio web2 Sea la función f(x)=3ln(x4) Determine el dominio de f Encuentre la asíntota vertical de f Encuentre el intercepto con x Dibuje la gráfica Resolución El dominio de f es el conjunto de todos los valores de x tal que x 4 > 0 x > 4 Dom f=4, ∞ La asíntota vertical se obtiene mediante la solución de x4=0 x=4Ejemplo 14 1 f(x,y) = x4 −x3y es homogénea de grado 4 2 f(x,y) = ey/x tg y x es homogénea de grado 0 4 1 ECUACIONES DIFERENCIALES ORDINARIAS Definición 15 Ecuaciones diferenciales homogéneas Una ecuación diferencial de la forma M(x,y)dxN(x,y)dy = 0,



Funciones Lineales Y Cuadrticas U D 13 3



Epsiclas Continuidad De Una Funcion A Trozos Con Calculo Del Dominio Estudia La Continuidad De La Siguiente Funcion F X 1 X2six 0 4x 1si0 X 2x 1six 2 Solucion Aqui Puedes Hacer Tus Comentarios Inicio Pagina Epsiclas Alberto Rodriguez
X 4 x 1 dx y 3 y 2 dy f(y)g(x );Soluciona tus problemas matemáticos con nuestro solucionador matemático gratuito, que incluye soluciones paso a paso Nuestro solucionador matemático admite matemáticas básicas, preálgebra, álgebra, trigonometría, cálculo y mucho másF (x)= 1/ (x^2) Calculadora de funciones Symbolab Ecuaciones de la recta Recta Puntos dados Pendiente y puntos dados Pendiente Ecuación de la recta



Int 2x 3 3x 2 4x 5 2x 1 Dx Equls To A X 3 2 X 2 2 3x 2 7 4 Ln 2x 1 C B 5x 3 2 6x 2 7 4 Ln 2x 1



Las Imagenes De 2 3 Y 4 Para La Funcion F X 5 X Las Imagenes De 2 3 Y 4 Para La Funcion Brainly Lat
(y 2)(x 4) (y 3)(x 1) dx dy x(y 2) 4(y 2) x(y 3) (y 3) dx dy xy 2x 4y 8 (x) 1 ln(x) La solucion general de forma implícita es 1 ln(x) 1ln(x) x 1 ln(x) 1 u 1 u 1 u udu (z 1)dz 2 (z 1)2zdz (z 1)2zdz 1 u udu Ahora z 1 u udu x 1 ln(x) ln(x) x dx u ln(x) duView 4to examensoluciodocx from CAJAMARCA at National University of Cajamarca f ( x )= 1 Sea la función { x− x ,−3 ≤ x←1 −4 x Sig ,−1 ≤ xGraficar una función lineal



What Is The Solution Of Math X 1 X 2 X 3 X 4 1 Math Quora



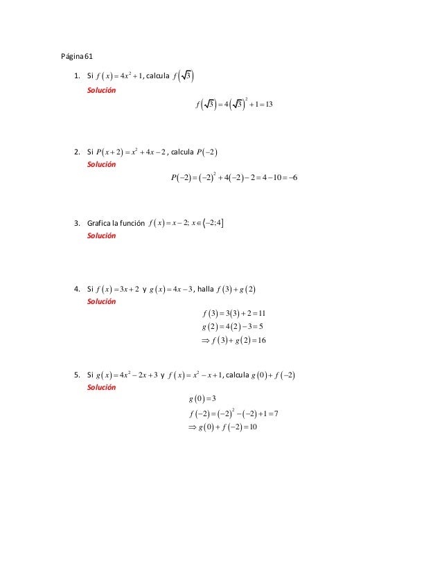
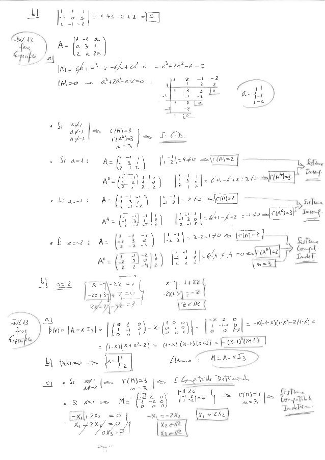
Solucion De Los Ejercicios Pares De Las Pag 61 A 69
ConclusiónEl efecto de sumara la entrada 2 unidades, hace que la gráfica se desplace 2 unidades a la izquierda Cambiar la salida de f(x) f ( x ) ± k Ejemplo 1 Considere la función fen f ( x ) 2Resolver para x (x4)^2=(x2)^2 Como los exponentes son iguales, las bases de los exponentes en ambos lados de la ecuación deben ser iguales La solución completa es el resultado de las porciones positivas o negativas de la soluciónSolution Steps f ( x ) = ( 3 x ^ { 2 } 6 ) ( 2 x \frac { 1 } { 4 } ) f ( x) = ( 3 x 2 6) ( 2 x − 4 1 ) Use the distributive property to multiply 3x^ {2}6 by 2x\frac {1} {4} Use the distributive property to multiply 3 x 2 6 by 2 x − 4 1 6x^ {3}\frac {3} {4}x^ {2}12x\frac {3} {2}



How Do You Find The Area Between F X X 2 2x 1 And G X 2x 5 Socratic



1
i) Para f (x) = e x , 0 x 2 obtener su serie de Fourier en cosenos, periódica de período 4 ii) Del resultado determinar la convergencia de 1 n 1 XFind the Properties f(x)=(x2)^24 Use the vertex form, , to determine the values of , , and Since the value of is positive, the parabola opens up Opens Up Find the vertex Find , the distance from the vertex to the focusIntroducción Una tienda tiene la máquina Supongamos que se ofrece los siguientes especiales Especial 1 Al comprar más de 10 pelotas, 1 es gratis Asi, cambio en f Nuevo dominio x >10, usamos la máquina f haciendo un ajuste al valor de entrada Especial 2 A mitad de precio Asi, cambio en f Especial 3 Al comprar más de 10 pelotas, 10 dolares de descuento



Funciones Dominio Y Rango Ppt Descargar



Example 6 Find Derivative Of F X 2x2 3x 5 At X 1
Get stepbystep solutions from expert tutors as fast as 1530 minutes Your first 5 questions are on us!3 ( ) f x x x3 2 3 2 4 ( ) f x 2 3x x3 2 5 ( ) f x x2 5 6 f x( ) x x 1 2 4 2 7 f (x) = x4 – 8 x2 8 Una empresa ha identificado que su ingreso mensual en pesos está dado por I (x) = 100x – x2 pesos Determina los intervalos donde la función ingreso es creciente o decreciente 9 La utilidad de una fábrica por la producción y ventaEjercicio nº 4 Halla los máximos, mínimos y puntos de inflexión de la función f (x) = (x2)2 (x 1) Di dónde es creciente, decreciente, cóncava y convexa



Soluciones Funciones



Matematicas Uam Es Fernando Chamizo Asignaturas Calc1inf1011 Sol Des Pdf
Solucionador de ecuaciones en línea gratuito con solución paso a paso Simplemente ingrese una ecuación lineal con una variable y obtendrá una solución con laTenemos la indeterminación de tipo oo/oo, tal que el límite para el numerador es $$\lim_{x \to \infty}\left(x^{2} x 6\right) = \infty$$ y el límite para el denominador esF ( x) = − 2 x 2 8 x 4 Puede factorizar el polinomio cuadrático utilizando la transformación ax^ {2}bxc=a\left (xx_ {1}\right)\left (xx_ {2}\right), donde x_ {1} y x_ {2} son las soluciones de la ecuación cuadrática ax^ {2}bxc=0 Puede factorizar el polinomio cuadrático utilizando la transformación a x 2 b x c = a ( x −



Dominio Y Rango



Dada La Funcion F X X2 4x A Encuentra La Primitiva F De F
C x intercepta el gráfico de una función cuadrática Las x intersecciones del gráfico de una función cuadrática f dada por f(x) = a x 2 b x c son las soluciones reales , si existen, de la ecuación cuadrática a x 2 b x c = 0 La ecuación anterior tiene dos soluciones reales y, por lo tanto, el gráfico tiene interceptaciones x cuando el discriminante D = b 2 4 a c es positivoExtended Keyboard Examples Upload Random Compute answers using Wolfram's breakthrough technology & knowledgebase, relied on by millions of students & professionals For math, science, nutrition, history, geography, engineering, mathematics, linguistics, sports, finance, musicWhy is the graph a line without a vertical asymptote at x=2?



Cual Es La Solucion De Esto F X X2 Ayudaaa Brainly Lat



Ecuacion Diferencial De Bernoulli
SOLUCIONES REPRESENTACIÓN DE FUNCIONES Ejercicio nº 1 Estudia y representa la función y 4 x 2x2 1 Solución Dominio R Ramas infinitas lím f x x x, Cortes con los ejes Con el eje Y x 0 y 1 Punto (0, 1) Con el eje X y 0 x4 2x2 1 0 Cambio x2 z z2 2z 1 0 1Find the following for the function a) f(0), b) f(1), c) f(1)Factorcalculator x^{2}4x4 es Related Symbolab blog posts Middle School Math Solutions – Equation Calculator Welcome to our new "Getting Started" math solutions series Over the next few weeks, we'll be showing how Symbolab



Solucionario Libro 4esob By Junjete Issuu



Step By Step Solutions
Calcula 1 3 x2 2x 4 dx Solución a Fx x 2 4x b F1 F3 12 c 3 1x2 2x 4 dx 733 u from MATH 146 at University of Santo Tomas6 Simplified Dirac identities Figure 1The "picket fence representation" (5) of f(x),compared with the "stacked slab representation" (6) PartialintegrationComo f0(x) < 0 en todo el intervalo (0,π/2), resulta que f(x) es decreciente y sólo puede tomar el valor 0 una vez, por lo tanto, la solución es única ¤ 12 Descripción del método • Objetivo Aproximar la solución de f(x)=0 • Inicio f(x) que cumple las condiciones del teorema de Bolzano en a,b • Método 1



Capitulo 3 Soluciones Purcell 9na Edicion



Soluciones Funciones
Resultado de F (x)=x24x3 Sumamos todos los números y todas las variables Nos deshacemos de los paréntesis Sumamos todos los números y todas las variables El resultado de la ecuación F (x)=x24x3 para usar en su tarea doméstica1)Graph f(x)=(x^2 4)/(x 2) using a graphing calculator Using a standard window with the trace feature, trace the graph to x=2 What happens?Simple and best practice solution for f(x)=x^23x4 equation Check how easy it is, and learn it for the future Our solution is simple, and easy to understand, so



Q Tbn And9gcslulng5y Cl 7cswdgcsa9omdgulvdzc Rnsjll8wdtvx7mnht Usqp Cau



Guia De Ejercicios 1 Analisis Numerico Ipac Relaciones Matematicas Fisica Aplicada E Interdisciplinaria
Encontrar el dominio y el rango de la función f(x) = x 2 4 Solución El dominio de f son todos los reales (∞, ∞), puesto que x 2 4 es un numero real para todo número real x Puesto que x 2 ≥ 0, para todo x, entonces x 2 4≥ 4, de lo anterior deducimos que f(x) ≥ 42 Why is there a "break" in the line at x=2?Divide f2, the coefficient of the x term, by 2 to get \frac{f}{2}1 Then add the square of \frac{f}{2}1 to both sides of the equation This step makes the left hand side of the equation a perfect square



Dada La Funcion F X X2 5x 2 F 2 F 2 Esta Determinada Por Brainly Lat



Example 6 Find Derivative Of F X 2x2 3x 5 At X 1
Solución f (0)=f (b) Þ b=2, b=0, b=2 Sólo vale b=2, c= 5 Dada la función f (x)= , aplica el teorema de Rolle, si es posible En caso contrario, razona la imposibilidad Solución No se puede aplicar el teorema de Rolle en un intervalo a,b que contenga el punto 0 porque la función no es derivable en x=0



Is There A Solution For X For X 2 Y Sqrt 3 X 2 2 1 Mathematics Stack Exchange



For Numbers 1 12 Evaluate The Integra 2 4 3x 2 Chegg Com



Solving Equations Algebraically



8 Ejercicios De Polinomios 2 Eso Parte 1 Superprof



Soluciones Tema 4 Funciones Reales De Varias Variables Topologia Estructuras Matematicas



Proving Int 0 Infty Mathrm E X 2 Dx Frac Sqrt Pi 2 Mathematics Stack Exchange



How Do You Solve X 2 2x 4 Youtube



4 Analisis De Funciones De Una Variable



How Do You Find The Max Or Minimum Of F X 4x X 2 1 Socratic



1 Derivar F X X 4 Derivada De Una Potencia Youtube



F X 3x 2 2x 4 Youtube



Resolver La Desigualdad Expresar La Solucion Usando Chegg Com



Tipos De Funciones Racionales Polinomicas Irracionales Trascendentes Ppt Descargar



Determine Las Derivadas De Las Siguientes Ecuaciones Chegg Com



Estudio Y Representacion De Funciones Pagina 2 Monografias Com



Ejercicios De Aplicaciones De La Derivada Iv Superprof



Q Tbn And9gcskksxwpc8yrawjhvdawzl3l4gzbdumq8xnihvp92zl0ydqywyb Usqp Cau



Rd Sharma Solutions For Class 10 Chapter 8 Quadratic Equations Exercise 8 6 Avail Pdf



Www Mat Uson Mx Jldiaz Documents Funcion Problemario Funciones Pdf



X 2 Soluciones A Los Ejercicios De La Unidad 1 Saca Factor Comun 2 Expresa Los Polinomios Siguientes Como Cuadrado De Un Binomio Pdf Free Download



Ejercicios De Areas De Funciones Superprof



Matematicas Uam Es Fernando Chamizo Asignaturas Calc1inf1011 Sol Des Pdf



El Algoritmo De Division De Polinomios Explica Con



Lab 1 Solucion 1 Funcion Matematicas Objetos Matematicos



Funcion Cuadratica F X Ax 2 Bx C A 0 El Dominio De Toda Funcion Cuadratica Es El Conjunto De Los Numeros Reales Decir Que D F Ir Pdf Free Download



Funciones F X 2 2 X 2 2x 5 Si 9 X X 4 Si X Si Dom F 0 1 Determine El Dominio De Las Siguientes Funciones Pdf Free Download



El Resultado De Resolver La Funcion Cuadratica F X X2 4 X 5 Brainly Lat



2 3 Transformacion De Funciones Las Graficas De Las Siguientes Funciones F X X F X X2 Y F X X Son Conocidas Cada Una De Ellas Tiene Una Forma Particular Y Sabemos Cual Es Su Forma General En Algunas Ocasiones Se Nos Pedira Trazar La



Maximos Y Minimos De La Funcion F X X 4 5x 2 4 La Prof Lina M3 Youtube



Mathscene Functions 1 Lesson 3



Funciones Valores Extremos De Funciones



2 X 1 3 3 X 2 4 X 1 6 Youtube



Familia De Soluciones Dy Dx Y 2 4 Geogebra



Problemas Solucionados Libro Matematicas 3 Eso By Alberto A Issuu



Como Encontrar El Valor De X Con Imagenes Wikihow



Calameo Ejercicios Resueltos Y Propuestos Sobre La Derivada



Matematicas Uam Es Fernando Chamizo Asignaturas Calc1inf1011 Sol Des Pdf



Verifying Solutions To Differential Equations Video Khan Academy



What Are The Roots Of X 4 16 0 Quora



Si F X X 2 8x 16 Y G X X 4 Obtener F X G X F X G X F X G X Y F G X Brainly Lat



If F Is Defined By F X X 2 4x 7 Show That F 5 2f 7 2



Mathscene Functions 1 Lesson 3



Grafico Dominio Y El Rango De Funciones De Valor Absoluto



Calameo Ecuaciones



Prueba Algebra Relaciones Matematicas



Implicit And Logarithmic Differentiation



Integral Int 1 1 Frac1x Sqrt Frac 1 X 1 X Ln Left Frac 2 X 2 2 X 1 2 X 2 2 X 1 Right Mathrm Dx Mathematics Stack Exchange



Funciones Valores Extremos De Funciones



Http Cdigital Dgb Uanl Mx La Pdf



Solucion Sistemas



Solucion De Los Ejercicios Pares De Las Pag 61 A 69



Calameo Fundamento De Calculo



Gaussian Quadrature Wikipedia



Pin On Derivada



Algebra Semana 3 Solucion



Ejercicios Y Problemas Resueltos Con Ecuaciones Cuadraticas



1



Limite Y Continuidad U D 4 2º Angel Prieto Benito Ppt Descargar



Soluciones Funciones



Quadratische Gleichung Wikipedia



Cual De Las Siguientes Funciones No Esta Graficada A F X



How Do You Factor X 3 8x 2 19x 12 Socratic



Ayuda Necesito Graficar La Siguiente Funcion F X 3x 2x 4 Brainly Lat



Implicit And Logarithmic Differentiation



F X X 2 4 Determina El Vertice Dominio Rango Y Puntos De Interseccion Con El Eje X Brainly Lat



Solution Evaluate Lim X 1 X 2 1 X 2 3x 4



Introduccion A La Combinacion De Funciones Articulo Khan Academy



Calameo Calculo De Derivadas I



Grafico Dominio Y El Rango De Funciones De Valor Absoluto



Representacion Grafica De Una Funcion F X X 2 4 X 3 Youtube



Integral Calculator Integrate With Wolfram Alpha



Int 2 2 X 3cos X 2 1 2 Sqrt 4 X 2 Dx



Problemario De Derivadas Y Maximos Y Minimos



X 4 5x 2 4 0 Youtube


0 件のコメント:
コメントを投稿